Author: National Renewable Energy Laboratory[1]
It is well known that airfoils under unsteady flow conditions with a periodically varying angle of attack exhibit aerodynamic characteristics different from those under steady flow conditions, a phenomenon commonly known as dynamic stall. It is also well known that the steady aerodynamic characteristics of airfoils in the inboard region of a rotating blade differ from those under steady two-dimensional (2D) flow conditions, a phenomenon commonly known as rotational augmentation. This paper presents an investigation of these two phenomena together in the inboard parts of wind turbine blades. This analysis is carried out using data from three sources: (1) the National Renewable Energy Laboratory’s Unsteady Aerodynamics Experiment Phase VI experimental data, including constant as well as continuously pitching blade conditions during axial operation, (2) data from unsteady Delayed Detached Eddy Simulations (DDES) carried out using the Technical University of Denmark’s in-house flow solver Ellipsys3D, and (3) data from a simplified model based on the blade element momentum method with a dynamic stall subroutine that uses rotationally augmented steady-state polars obtained from steady Phase VI experimental sequences, instead of the traditional 2D nonrotating data. The aim of this work is twofold. First, the blade loads estimated by the DDES simulations are compared to three select cases of the N sequence experimental data, which serves as a validation of the DDES method. Results show reasonable agreement between the two data in two out of three cases studied. Second, the dynamic time series of the lift and the moment polars obtained from the experiments are compared to those from the dynamic stall subroutine that uses the rotationally augmented steady polars. This allowed the differences between the stall phenomenon on the inboard parts of harmonically pitching blades on a rotating wind turbine and the classic dynamic stall representation in 2D flow to be investigated. Results from the dynamic stall subroutine indicated a good qualitative agreement between the model and the experimental data in many cases, which suggests that the current 2D dynamic stall model as used in BEM-based aeroelastic codes may provide a reasonably accurate representation of three-dimensional rotor aerodynamics when used in combination with a robust rotational augmentation model.
Contents
Introduction
Dynamic stall on rotating airfoils has been studied quite extensively during the last few decades, primarily in helicopter research, see [2][3][4][5][6][7]. Accurate prediction of periodic aerodynamic loads on helicopters is vital to assessing blade life, and such loads are one of the primary factors limiting the performance of these structures, see [8]. In recent years, dynamic stall has also been gaining attention within wind turbine aerodynamics, see [9][10]. Rotational augmentation in lift in the inboard sections is another important phenomenon that occurs on wind turbine blades[11]. Even though modern wind turbines are pitch regulated and do not use stall as a control mechanism, stall is unavoidable in the inner part of the blades when rated power is obtained. Coupled with turbulent inflow, yaw misalignment, and wind shear, this may give rise to dynamic stall effects in the inboard region of the blade. Both dynamic stall and rotational augmentation have received significant attention during the last few decades, but independently. Several engineering models independently model each of these two phenomenon—see, for example[12][13][14] on rotational augmentation, and [15][16][17][9] on dynamic stall modeling on wind turbine blades.
Most rotational augmentation models are characterized for axial operating conditions, and to the authors’ knowledge, dynamic stall together with rotational augmentation in axial operating conditions has not been studied previously. The studies that looked at dynamic stall on wind turbines have pertained mostly to its operation in yawed flow [see, for example, [18][10]]. Some of the challenges that yawed conditions add to analyzing dynamic stall together with rotational augmentation were identified by [19]. In yawed flow, the induction at the rotor plane is a function of the rotor wake geometry and its influence on the induction at the given azimuthal position of the blade. Without an accurate method for quantifying the azimuthal variation in the induction caused by the skewed wake, it is difficult to define a local instantaneous angle of attack (AOA) and identify dynamic stall on a yawed turbine. The National Renewable Energy Laboratory’s (NREL’s) Unsteady Aerodynamics Experiment (UAE) Phase VI experimental data contains, among other signals, pressure data measured on the wind turbine blades sorted into different sequences based on its operating conditions. In the N-sequence, the rotor operates in axial conditions and the blades rotate and pitch simultaneously.
This unique data set has facilitated the study of dynamic stall together with rotational augmentation in axial operating conditions by circumventing the aforementioned challenges associated with yawed flow. Unsteady delayed detached eddy simulations (DDES) of the same rotor have also been carried out for select cases using the in-house flow solver EllipSys3D, some of which have been previously presented briefly in [20]. Further, a Beddoes-Leishman-type dynamic stall model [15] was implemented for the same rotor. This work investigates dynamic stall on wind turbine blades with rotationally augmented flow fields by modeling rotational augmentation and dynamic stall separately and superimposing the results. Various N-sequence experimental data sets, the computational fluid dynamics (CFD) results, and the results from a Beddoes-Leishman-type dynamic stall model by [15] are compared and analyzed.
Modeling Dynamic Stall
Various studies have been carried out previously using CFD as well as reduced order modeling approaches in analyzing dynamic stall on rotating blades—see, for example, [21] for an outline of some existing models. Much of this work has been within helicopter research, but several models exist that are applicable to wind turbines as well—see, for example,[15][17][9]. In this work, dynamic stall has been modeled using both unsteady CFD computations and a reduced order dynamic stall model given by [15].
Reduced Order Engineering Model for Dynamic Stall
The dynamic stall model by [15] is a modification of the [22] dynamic stall model [22] to suit wind turbine blades. The idea behind the original [22] dynamic stall model is that the different physical effects influencing the aerodynamics of an oscillating airfoil can be treated as four modules: the attached flow module, the leading-edge separation module, the trailing edge separation module, and the vortex lift module. The original model was designed for helicopter rotors, which typically use thin blades and operate at high Mach numbers. In the implementation of [15], the following two modifications were made to the original model to suit wind turbine applications:
- Most wind turbines use airfoils that are thicker than those typically used on helicopters, and leading-edge separation is less common on thick airfoils. Hence, leading-edge separation is not accounted for in this model.
- The highest Mach numbers seen on wind turbines is only of the order of 0.3 (the speed of the tip of a blade operating at a tip speed ratio of 7 at \(U_\infty = 15 m/s\) is 105 m/s), so compressibility effects are ignored.
This results in a simplified dynamic stall model that outputs time series data of dynamic lift, drag, and moment coefficients for a given input of the frequency of pitching, the mean AOA, the amplitude of oscillation, and the steady polars. The steady polars that are traditionally used as an input to this model have been 2D nonrotating airfoil data. Ideally, an accurate rotational augmentation model would be coupled with a dynamic stall model to simulate a wind turbine using BEM-based codes. Because the reliability of most rotational augmentation models is still questionable, see [14], this work uses experimentally obtained polars on rotating blades from the H, J, and N sequence data sets of the NREL Phase VI experiment as the inputs to the dynamic stall model.
Unsteady Delayed Detached Eddy Simulations

The in-house flow solver EllipSys3D is used in all computations presented in this paper. The code is developed in cooperation between the Department of Mechanical Engineering at the Technical University of Denmark (DTU) and the former Department of Wind Energy at Risø National Laboratory, Risø-DTU [see [23][24][25]]. In the present work, turbulence is modeled by the k-ω Shear Stress Transport (SST) eddy viscosity model [26] in the form of the DDES technique of [27], which is an extension of the detached eddy simulation model as proposed by [28].
The DDES methodology is combined with the laminar/turbulent transition in the boundary layer on the blade, which is modeled with the γ -~Reθ correlation-based transition model of [29]—for the present implementation, see [30]. As the DDES methodology treats everything except the separated region using the Reynolds Averaged Navier-Stokes (RANS) methodology, the transition model can be applied in the standard way within the boundary layer.
Figure on the right shows the computational domain used in the current simulations. The pitching motion of the blade is accounted for using a deforming mesh formulation in a fixed frame of reference, implemented in a generalized way to allow for an arbitrary deformation of the computational mesh. The rotational motion of the rotor is simulated by a moving mesh method, in which all the grid points in the computational mesh are moved together as a solid body, see [31]. To ensure that no artificial mass sources are generated by the mesh deformation, the mesh velocities needed for the convective terms are computed enforcing the geometry-conservation law, as described by [32].
The EllipSys3D code is second-order accurate in time, using a second-order backward differencing time discretization and subiteration within each time step. In the present computation, the diffusive terms are discretized with a second-order central differencing scheme. The convective fluxes are computed using the QUICK scheme in the RANS regions, whereas a fourth-order central scheme is used for the regions in which the DDES model has switched to a large-eddy simulation technique. The simulations are computed as transient runs with 1,700 time steps per revolution and using 12 subiterations in each time step, see [33]. The turbulence intensity at the rotor location is controlled by the specified inflow values of the turbulent kinetic energy ‘k’, the specific turbulence dissipation rate ω, and the decay of the turbulence from the inlet to the rotor location. The decay of the turbulence from the inlet to the rotor location can be computed from the freestream velocity and the distance from the inflow boundary to the rotor location, see, for example, [34].
| Case Nr. | K [-] (r/R = 0.30) | αM [◦] (r/R = 0.30) | K [-] (r/R = 0.47) | αM [◦] (r/R = 0.47) | βΩ [◦] |
|---|---|---|---|---|---|
| N47020 | 0.090 | 4.5 | 0.063 | 2.0 | 2.37 |
| N47030 | 0.090 | 13.9 | 0.063 | 11.6 | 4.79 |
| N47050 | 0.108 | 10.8 | 0.075 | 8.3 | 2.50 |
| N47090 | 0.143 | 10.7 | 0.100 | 8.1 | 2.37 |
| N47140 | 0.179 | 6.5 | 0.125 | 3.9 | 1.19 |
| N47150 | 0.179 | 14.6 | 0.125 | 12.2 | 1.27 |
| N47170 | 0.036 | 15.7 | 0.025 | 13.4 | 6.28 |
| N47180 | 0.036 | 21.2 | 0.025 | 19.7 | 5.84 |
| N47230 | 0.072 | 15.7 | 0.050 | 13.4 | 6.50 |
| N47240 | 0.072 | 21.1 | 0.050 | 19.8 | 5.98 |
| N47290 | 0.108 | 15.9 | 0.075 | 13.6 | 6.46 |
| N47300 | 0.108 | 21.3 | 0.075 | 20.0 | 5.98 |
| N47350 | 0.143 | 15.8 | 0.100 | 13.5 | 6.33 |
| N47360 | 0.143 | 21.2 | 0.100 | 20.0 | 5.98 |
NREL Phase VI Experiment
NREL’s UAE Phase VI was a large-scale experiment on wind turbine aerodynamics carried out at the National Aeronautics and Space Administration’s Ames Research Center’s 80 ft × 120 ft wind tunnel. The experiment was conducted using a two-bladed 10-m-diameter turbine that was subjected to different wind speeds, pitch conditions, and rotating speeds. Pressure distributions were recorded at five locations along the blade: r/R = {0.30, 0.47, 0.63, 0.80, 0.95} and each location was instrumented with 23 pressure taps. The pressure distributions were used to obtain forces at these radial locations. The original experimental data were categorized into data sequences according to the operating conditions. In this work, data from four UAE Phase VI data sets are used:
- Rotating and fixed pitch conditions (H and J sequences). Axial operation, varying \(U\infty\), 72 rpm, and fixed tip pitch angles of 3◦ (H sequence) and 6◦ (J sequence). Here, positive pitch is towards a decreasing AOA. The AOA on the blade was estimated using the inverse BEM method, see Guntur, S.; Sørensen, N.N. (2014a). “An evaluation of several methods of determining the local angle of attack on wind turbine blades.” Journal of Physics: Conference Series 555(1); p. 012,045. doi:10.1088/1742-6596/555/1/012045 Lindenburg, C. (2003). Investigation into Rotor Blade Aerodynamics: Analysis of the stationary measurements on the UAE phase-VI rotor in the NASA-Ames wind tunnel. ECN-C–03-025, ECN, The Netherlands.
- Rotating and pitching conditions (N sequence). Axial operation at \(U\infty\) = 15 m/s and 72 rpm, while the blade pitched continuously at various values of the reduced frequency (K), mean pitch angle (βM), and the pitching amplitude (βΩ). Here, the reduced frequency is defined as
\(𝐾=\frac{Ω𝑐}{2𝑈_{local}}\) where Ω is the pitching frequency, Ulocal is the local relative wind velocity, and c is the length of the local chord. The specific N sequence cases investigated in this work are shown in table bellow. The AOA on the blade was derived using the inverse BEM method described bellow. - Parked conditions (L sequence). The rotor was parked with the instrumented blade at the 12 o’clock position, and the blade was incremented slowly in pitch. Pressure distributions at various radial locations were collected for various pitch angles, resulting in a CL and CD versus AOA. These data are different from typically 2D wind tunnel data in that it includes the induction caused by the trailing vortices on the blade. The AOA is taken to be the angle between the local chord and the freestream wind direction.
The Parameters βΩ, K and the Tip Pitch for Each of the Cases Considered in table above (The K Value Corresponds to the Section r/R = 0.80 for the Cases N80220 and N80250, and r/R = 0.95 for the Case N95090 H-seq. N80220 N80250 N95090 Tip pitch 3° 2.95° 2.95° 3.13° 𝛽Ω – 10.26° 5.79° 2° Local K – 0.025 0.05 0.025 - Parked pitching conditions (O sequence). The rotor was parked with the instrumented blade at the 12 o’clock position, and the blade was pitched at various values of K, βΩ, and βM. The AOA is taken to be the instantaneous angle between the local chord and the freestream wind direction.
For further details on the UAE Phase VI, see Hand et al. (2001).
Determination of the AOA


The assumptions and methodology adopted to estimate the AOA have been described in the previous work on the same subject, see [20]. Some of it is repeated here, because it is relevant to the current work.
The normal and tangential force coefficients at the five spanwise locations, r/R = {0.3, 0.47, 0.63, 0.80, 0.95}, are used to estimate the induction and thereby the AOA at different sections using the inverse BEM method, see [35][36]. The classical BEM theory is not capable of handling unsteady effects, which makes estimating the AOA for the N sequence data challenging. To overcome this problem, the following assumption (Hypothesis 1) is made: Because induction at the rotor is a far-field effect determined by the wake generated from several rotor rotations, the influence of one blade pitching cycle is negligible compared to the aggregate influence of the wake produced by several blade pitch cycles during multiple rotor rotations. In other words, the mean thrust on the flow field by the rotor blades pitching as β(t)=βM+βΩcos(Ωt) over a time period of 2π/Ω is approximately the same as a rotor operating in steady state at a constant blade pitch angle βM under similar conditions. By this hypothesis, the normal force coefficients from the N sequence are averaged over one pitch cycle, and these mean forces are used as the input to the inverse BEM code. Upon obtaining a static effective AOA(αeff) by this method, the dynamic effective AOA(αdyn(t)) is assumed to be simply
\(𝛼_{dyn}(𝑡)=𝛼_{eff}+𝛽_Ωcos(Ω𝑡)\)The reliability of the inverse BEM method for steady conditions was already validated to some extent in [35]. Hypothesis 1, concerning unsteady conditions, was validated using the H sequence (zero yaw only) experimental series of the UAE Phase VI following the methodology documented below in connection with tables shown bellow. If Hypothesis 1 is valid, then the force coefficients at different radial locations in the N sequence that also have the mean tip pitch of 3◦ must be the same as those from the H sequence, as shown below.
Table bellow shows the experimental configuration of the four sets of data that are used in the comparison presented in table bellow. As shown in Table bellow, the N sequence cases N80220, N80250, and N95090 operate at mean blade tip pitch angles (βM) of 2.95◦, 2.95◦, and 3.13◦, respectively. The local K is computed as defined in this equation.
| \(𝜖=\frac{C_{N,Hseq}-C_{N,Nseq}}{C_{N,Hseq}}*100\) | ||||
| r/R | H-seq.
\(C_N\) |
N80220
\(\overline{C_N}(𝜖)\) |
N80250
\(\overline{C_N}(𝜖)\) |
N95090
\(\overline{C_N}(𝜖)\) |
|---|---|---|---|---|
| 0.30 | 2.33 | 2.21 (5.2) | 2.21 (5.3) | 2.27 (2.4) |
| 0.47 | 1.16 | 1.33 (-14.3) | 1.26 (-8.3) | 1.16 (0.2) |
| 0.63 | 1.30 | 1.28 (1.6) | 1.24 (4.6) | 1.31 (-0.6) |
| 0.80 | 0.84 | 1.05 (-25.3) | 1.07 (-27.1) | 0.90 (-7.6) |
| 0.95 | 0.85 | 0.81 (4.4) | 0.83 (2.7) | 0.88 (-3.8) |
| r/R | H-seq. α◦ | N80220 α◦ | N80250 α◦ | N95090 α◦ |
|---|---|---|---|---|
| 0.30 | 28.0 | 28.2 | 28.0 | 27.9 |
| 0.47 | 28.8 | 28.5 | 28.4 | 28.6 |
| 0.63 | 24.3 | 24.3 | 24.2 | 24.1 |
| 0.80 | 21.0 | 20.7 | 20.5 | 20.6 |
| 0.95 | 18.4 | 18.5 | 18.3 | 18.2 |
In the table above, the CN values at the five spanwise locations for three experimental cases from the N sequence are compared to those from the H sequence. In total, 15 comparisons can be made in this table. For each CN value, the percentage differences between the N sequence CN values and the corresponding H sequence CN value are shown in the parentheses. As shown, the percentage difference (ε) between the H sequence and the N sequence data is up to 27% in three cases, approximately 8% in two cases, and less than 5.3% in the remaining 10 out of the 15 cases. The higher deviations (ε = 7.6% or higher) occur at the 47% and the 80% sections.
It has been shown in [37][30] that stall cells occur in the vicinity of the 47% section in some cases on the NREL Phase VI blade. It is a possibility that similar structures are created near the 47% and the 80% sections in the cases examined here, and these structures are responsible for the deviation seen in the four latter cases. Also, note that the first two experimental cases (N80220 and N80250) have a higher pitching amplitude, βΩ, compared to the third case (N95090), in which there is the best agreement between the averaged N sequence forces and those from the H sequence. This indicates that Hypothesis 1 works best for low values of βΩ. Therefore, a second possibility could be that Hypothesis 1 starts to introduce errors at high values of βΩ. Further, a third possibility could be that the lift overshoot beyond static CL,max that is characteristic of classical dynamic stall is most prominent in the cases with higher ε values. This lift overshoot could be because of localized transient effects that are not accounted for in the cycle-averaging procedure embraced in Hypothesis 1, such as stochastic perturbations caused by a tip vortex shifting in the spanwise direction that, according to [38], may also generate stall cells at the outboard regions. These possible effects are interesting topics for future research on this subject.
Overall, in a majority of shown cases there is good agreement between the H sequence and N sequence data. Because the aim here is to obtain a reliable estimate of the AOA, it is useful to analyze the error in the AOA estimates caused by a given error in the CN. Using the inverse BEM for steady cases, the change in the estimated AOA with respect to the force coefficient, CN, for the N sequence cases studied here has been computed as
\(\frac{dα}{dC_N}=≃2.73\)That is, for a given set of operating conditions, a change in the normal force coefficient of ΔCN = 0.2 results in a change in the estimated local AOA of Δα = 0.5◦. Even though in some cases there is a difference between the CN from the H sequence and N sequence data sets as shown in in table above, the corresponding difference in the estimated local AOA between the H sequence and N sequence cases seems far less prominent. This is shown in table above, which shows the computed AOAs for the same cases. The differences between the estimated AOAs for the H sequence cases and the N sequence cases are negligible. Hence, Hypothesis 1 has been deemed reasonable for carrying out the current analysis.
Results and Discussion
It is well known that in the inboard sections the flow field on the blade is rotationally augmented, see [39][40]. Therefore, the first step in studying dynamic stall in the inboard parts of a wind turbine is to examine how lift during dynamic stall behaves in the inboard regions. Figure on the right shows the lift polars in stationary and rotating, steady and pitching conditions, obtained from the experimental data at r/R=0.47 and a reduced frequency of pitching K=0.1. The lift curve from the steady rotating case (blue dotted line, J sequence) shows higher lift than the steady stationary case (red dotted line, L sequence), which is due to rotational augmentation. The hysteresis loop formed by the rotating and pitching case (solid blue line, N sequence) shows higher lift compared to the stationary pitching case (solid red line, O sequence), which indicates that lift in dynamic stall is proportionally augmented in rotation. Note that the area enclosed in the hysteresis loop of the N sequence is smaller than that of the O sequence. If the area within the CL − α hysteresis loop is an indication of the severity of stall on the blade, this observation is consistent with the conclusion from [41] that stall is suppressed in rotation and also that this has an effect on dynamic stall.
Comparing CFD to Experimental Data







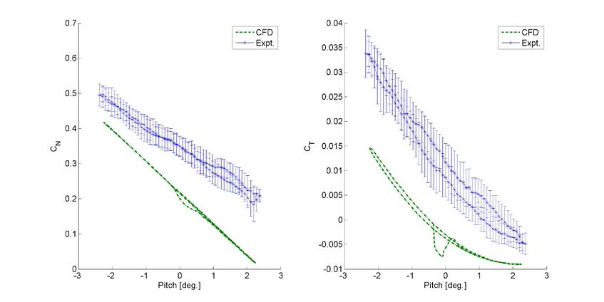
Three cases—N47090, N47350, and N47020—were simulated by the unsteady DDES computational fluid dynamics computations. Forces from the CFD data were extracted at the spanwise locations where the pressure data was available from the original experiment. Figures on the right show data from the cases N47090, N47350, and N47020, respectively. The normal and tangential force coefficients (measured parallel and perpendicular to the chord, respectively) shown here are at the r/R=0.47 location, obtained from the CFD simulations and the experiment. The details regarding the operating effective AOAs, reduced frequencies of pitching, and pitching amplitudes of all of the N-sequence experimental cases studied in this work are tabulated in table above. In the figure on the right, the pitch is defined positive toward a decreasing AOA.
Consider the two cases N47090 and N47350, shown in Figures on the right, respectively. The case N47090 operates at a pitching amplitude of βΩ=2.37◦ and mean AOA of αM=8.2◦. The case N47350 operates at a pitching amplitude of βΩ=6.33◦ and mean AOA of αM=13.5◦. Both cases operate at the same pitching frequency, K=0.1, and show good qualitative agreement between experimental and CFD data. The case N47090 shown in Figure on the right shows a good agreement between the CFD and the experimental data in CN as well as CT. The case N47350, which operates at a higher mean AOA of αM=13.5◦, shows that there is good qualitative agreement between the two data sets, but during the reattachment phase of the dynamic stall process the CFD data predicts a more severe stall than that observed in the experiments. [42] highlights that the highly unsteady and stochastic nature of flow in this region—described, for example, in [8]; [2][3][7]—makes it challenging to model using even the most advanced, state-of-the-art CFD methods. It is believed that this is one of the reasons for the observed difference between the experimental and CFD results. Further, Figures on the right show that there is a correlation between the blade pitching frequency and the rotation of the turbine in the cases N47090 and N47350. The blade passes the tower at approximately the same pitch every cycle during the decreasing part of the pitching cycle (increasing in AOA). This tower passage effect is also responsible for some of the disagreement between the CFD and the experimental data in these two cases—for example, the dip in the CN value in Figure on the right observed at an approximate 0◦pitch on the upper side of the CN loop.
The third case, N47020, operates at a lower pitching frequency, K=0.0625, and a lower mean AOA compared to the previous two cases, αM=2.0◦. In Figure on the right, the comparison between the CN and CT shows that the CFD data predicts a lower force than that obtained from the experiment. One possibility for this disagreement between the CFD and the experimental data could be that the absence of the nacelle and the tower in the CFD model gives rise to flow structures in the inboard region that are different from the experiment, which contained a nacelle and a tower. In addition, the turbine in this case operates at a tip pitch setting that is significantly different from its design configuration. The mean AOA at r/R=0.47 is approximately 2◦, meaning that sections further inboard have a mean AOA of slightly higher than 2◦, and those at the outboard regions have a smaller or negative mean AOAs. This implies that there is a positive lift in the inboard region, a negative lift in the outboard region, and a zero lift region somewhere in the middle of the blade. Such a lift distribution along the blade leads to the trailing of multiple vortices along the span of the blade, in addition to the root and tip vortices. It was highlighted in [35] that a strong trailing vortex can lead to variations in the measured forces in that region. In meshing computational domains, the tip and the root region of the blades typically have more grid points enabling the tip and the root vortices to be well resolved. It is possible that these midboard trailing vortices were not modeled accurately in the present CFD computation, and that the lower lift observed in case of the CFD data is an overestimated effect of the trailing vortices. In any case, the CFD simulation in this case was not able to model the flow accurately.
Although the DDES CFD simulations were able to generate reasonable results for two out of the three cases studied (N47090 and N47350), apparently it has some limitations that restrict its accuracy in modeling the case N47020.
Further investigation is needed to analyze this discrepancy in more detail, which is outside the scope of the current study.
Comparing the Reduced Order Dynamic Stall Model with the Experimental Data



The first two spanwise locations, r/R=0.30 and 0.47, were investigated in the current work using 14 N sequence test cases. The test case numbers, and the values of the parameters K, αM, and βΩ for these cases are shown in table above. In real-life wind turbines, the cyclic variation in loading under yawed operating conditions, for example, has a frequency of 1P (rotor rotation frequency), which results in a local dynamic stall reduced frequency of approximately K = 0.1 in the inner parts of the rotor. The test cases chosen here operate in the ranges of 0.036<K<0.18, 2◦<αM<21◦, and 1.2◦<βΩ<6.5◦, which covers many cases that can occur on real wind turbines. The lift and moment polars for the selected cases are shown in Figures on the right. All experimental data shown is binned and averaged over approximately 40 pitching cycles. All of the simulated data presented in this section was generated using the dynamic stall model of [15]. The results from the simulation depend on the input parameters given below. Note that any uncertainties in these inputs will reflect in the output from the model:
- The model uses the steady 3D (rotationally augmentated) lift, drag, and moment polars derived from the J sequence of the Phase VI experimental data,
- The model assumes a mean AOA as estimated by the technique described here.
Figures on the right show the lift and moment polars for the cases N47180 and N47360, respectively, at the section r/R = 0.30. The case N47180 operates at a low pitching frequency of K=0.036, and the case N47360 operates at K=0.143. Both of these cases operate at αM=21.2◦ and approximately βΩ=5.9◦. Similarly, Figures on the right show a comparison between the cases N47170 and N47350, respectively. Here, too, the two figures show slow pitching K=0.036 and fast pitching K=0.143 conditions, respectively, with approximately the same amplitude of βΩ=6.3◦ but at a lower mean AOA of αM=15.8◦.
Although good agreement is shown between the model and the experimental data in Figures on the right, the two cases shown in Figures on the right show differences. This effect is slightly more pronounced in Figure on the right, in which the difference between the mean lift values of the experimental and model data is approximately 0.17. On one hand, the mean of the unsteady experimental lift curve (solid blue line, N sequence) lies below both the steady lift curve (dashed blue line, J sequence) as well as the data from the model (dashed black curve, [15]) in Figures on the right. On the other hand, the areas enclosed within the CL hysteresis loops between the experimental data and the model in Figure on the right are similar. It is also noteworthy that the experimentally obtained steady-state polar curves used here are not smooth, which may introduce some error in the model results. Given that there are uncertainties relative to post-processing of the experimental data (for example, AOA estimation in steady as well as the unsteady cases), it is difficult to conclude whether the differences observed in Figures on the right are because of experimental uncertainties, or because of the physical process itself. All in all, these four cases present a comparison among high and low pitching frequencies at high and low mean AOAs. In general, the CL − α curves obtained from the model and the experimental data show good qualitative agreement.
The hysteresis in CM is an indication of aerodynamic damping for the pitching moment: a counterclockwise loop in the CM − α curve denotes positive damping, and vice versa. Figures on the right, which show cases that operate at the same pitching frequency of K = 0.036 but different mean AOAs, show a good agreement between the model CM −α data and experimental data. This shows that at this pitching frequency, the model and experiments agree well for varying mean AOAs.
Figures on the right show cases that operate at a different mean AOA and a pitching frequency of K=0.143, which is higher compared to the previous cases in figures on the right. It is observed here that the agreement between the model and the experimental data at K=0.143 is not as good as it is at K=0.036. In the figure on the right, the experimental CM curve shows a larger area within the CM loop compared to that of the model, whereas in figure on the right the experimental CM curve shows a smaller area enclosed within the CM curve than that of the model. This suggests that at higher frequencies the model consistently (between the two cases shown here) predicts a more positive torsional damping.
Figures on the right show a similar comparison at the radial location r/R=0.80 at reduced pitching frequencies of K=0.024 and K=0.048, respectively. At outboard locations, rotational augmentation effects are little to none, see [40], and therefore it is expected that the agreement between the dynamic stall model (which was originally developed for 2D flow fields) and the experimental data is good. Figures on the right show that although there is some agreement, there are also some specific features that can be observed in the experimental data that are not reproduced by the model. First, the model estimates separation that is less severe than what is shown by the experimental data in both figures in lift. Further, the experimental data in figure on the right shows some peculiar behavior in lift during increasing AOA: the lift value peaks at α=13◦, decreases in value thereafter, and peaks again at α=18◦ before the AOA starts to decrease. According to what is understood about dynamic stall from past literature, this behavior is unusual, and it is not exactly understood why it happens in the case shown in figure on the right.
As shown, the model seems to be limited in its capabilities to reproduce these specific features of lift in some cases. However, considering the uncertainties of the current approach it seems that the current model is capable of providing good qualitative estimates in both the lift and the moment in most cases and good quantitative estimates in some cases. This implies that within the range of conditions studied herein, it seems reasonable for rotational augmentation and dynamic stall to be modeled separately and be superimposed in the BEM-based aeroelastic codes. However, superposition of two strongly nonlinear phenomena across a broad parameter range entails substantial complexity and therefore uncertainty. To successfully do this across a more general range of conditions, it will be crucial to have a detailed understanding of the flow physics responsible for rotational augmentation and dynamic stall, acquired through first principles computations and detailed experiments.
Conclusion
In summary, this paper presents a study investigating dynamic stall in rotationally augmented flow fields on wind turbine blades. One of the major challenges of carrying out such a study has previously been in the ability to effectively separate these two phenomena. The present study is unique in that the distinct effects of the dynamic stall and the rotational augmentation phenomena have been analyzed separately on the inboard parts of an experimental wind turbine, the data from which inherently contains both. This study has been carried out using NREL’s UAE Phase VI experimental data, which encompassed stationary and rotating blade conditions as well as fixed pitch and dynamic blade conditions.
A method for estimating the instantaneous AOA on a rotating/pitching blade using experimental data has been presented. In the experimental cases studied herein, it has been found that this method provides reliable AOA estimates. Rotationally augmented polars of the s809 airfoil used on NREL’s Phase VI rotor blades have been extracted from the J sequence of the same experimental database at various radial locations, in which the turbine operates in axial, steady flow with a constant rotational speed and pitch conditions. Using the estimated AOA values and the experimentally obtained rotationally augmented polars as the input, a number of cases have been modeled using the dynamic stall model by [15] and compared to the experimental data. In some cases, certain features have been observed in the experimental data that are neither reproduced by the current dynamic stall model nor fully understood based on the current understanding of dynamic stall in the presence of three dimensionality and rotational augmentation. In the other cases, good agreement was found between the model and the experimental lift data. In analyzing the moment coefficient it was found that the model provides reasonable results at low K values and overpredicts torsional aerodynamic damping at higher K values.
Three out of the 14 N-sequence cases were modeled using unsteady DDES CFD simulations and compared to the experimental data. A qualitative agreement was found between the CFD simulations and the experimental data in two out of three cases discussed. In the third case, it was found that the CFD estimates are not in good agreement with the experimental data. It is speculated that there could be issues related to the turbine operating in conditions that are far from its design conditions. Further investigations are needed to fully understand the reasons for these disagreements.
Overall, the observations from comparing the dynamic stall model by [15] to the experimental data suggest that in some cases dynamic stall as it occurs on rotating and nonrotating blades may be similar. In the cases in which the model and the experimental data do not agree well, a more detailed understanding is needed concerning the interactions between rotational augmentation and dynamic stall, which must be gained through more high-quality computations and experiments. In any case, observations suggest that the current dynamic stall model when used along with a robust preprocessor for rotational augmentation in BEM-based aeroelastic codes can provide reasonable estimates for unsteady aerodynamic loads on wind turbines subject to constraints imposed by flow field flow physics and model physical fidelity.
References
- ↑ NREL, http://www.nrel.gov/docs/fy15osti/63925.pdf, April 2015, [Online]. Available: http://www.nrel.gov/docs/fy15osti/63925.pdf. [Accessed August 2015].
- ↑ 2.0 2.1 Ericsson, L.E.; Reding, J.P. (1988a). “Fluid mechanics of dynamic stall part I. Unsteady flow concepts.” Journal of Fluids and Structures 2(1); p. 1‒33.
- ↑ 3.0 3.1 Ericsson, L.E.; Reding, J.P. (1988b). “Fluid mechanics of dynamic stall part II. Prediction of full scale characteristics.” Journal of Fluids and Structures 2(2); p. 113‒143.
- ↑ Gardner, A.; Richter, K. (2013). “Influence of Rotation on Dynamic Stall.” Journal of the American Helicopter Society 58; p. 032,001.
- ↑ Green, R.; Galbraith, R.; Niven, A. (October 1992). “Measurements of the dynsmic stall vortex convection speed.” The aeronautical journal of the royal aeronautical society 96(958); pp. 319–325.
- ↑ Jumper, E.; Schreck, S.; Dimmick, R. (January 1986). “Lift-Curve Characteristics for an Airfoil Pitching at Constant Rate.” AIAA 24th Aerospace Sciences Meeting. AIAA-86-0117, Reno, Nevada, USA.
- ↑ 7.0 7.1 Visbal, M. (January 1991). “On the formation and control of the dynamic stall vortex on a pitching airfoil.” 29th Aerospace Sciences Meeting. Reno, Nevada, USA: AIAA.
- ↑ 8.0 8.1 Carr, L. (January 1988). “Progress in analysis and prediction of dynamic stall.” Journal of aircraft 25(1); pp. 7–17.
- ↑ 9.0 9.1 9.2 Rasmussen, F.; Petersen, J.T.; Madsen, H.A. (August 1999). “Dynamic Stall and Aerodynamic Damping.” Journal of Solar Energy Engineering 121(3); pp. 150–155.
- ↑ 10.0 10.1 Schreck, S.; Robinson, M.; Hand, M.; Simms, D. (2001). “Blade dynamic stall vortex kinematics for a horizontal axis wind turbine in yawed conditions.” J. Solar Energy Engineering 123; pp. 272–281.
- ↑ Banks, W.; Gadd, G. (1963). “Delaying effect of rotation on laminar separation.” AIAA 1(4); pp. 941–942.
- ↑ Bak, C.; Johansen, J.; Andersen, P. (2006). “Three-dimensional corrections of airfoil characteristics based on pressure distributions.” Proc. of the European Wind Energy Conference. Athens, Greece.
- ↑ Breton, S.; Coton, F.; Moe, G. (2008). “A study on rotational effects and different 3D stall models using a prescribed wake vortex scheme and NREL Phase VI experiment data.” Wind Energy 11; pp. 459–482.
- ↑ 14.0 14.1 Guntur, S.; Bak, C.; Sørensen, N. (2011). “Analysis of 3D Stall Models for Wind Turbine Blades Using Data from the MEXICO Experiment.” Proc. of the 13th International Conference on Wind Engineering. Amsterdam, the Netherlands.
- ↑ 15.00 15.01 15.02 15.03 15.04 15.05 15.06 15.07 15.08 15.09 15.10 Hansen, M.; Gaunaa, M.; Madsen, H. (June 2004). A Beddoes-Leishman type dynamic stall model in state-space and indicial formulations. Risø-R-1354, Risø-DTU.
- ↑ Holierhoek, J.; de Vaal, J.; van Zuijlen, A.; Bijl, H. (2013). “Comparing different dynamic stall models.” Wind Energy 16(1); p. 139‒158.
- ↑ 17.0 17.1 Øye, S. (October 1994). “Dynamic stall simulated as a time lag of separation.” Proc. of EWEC. Thessaloniki, Greece.
- ↑ dos Santos Pereira, R.B. (2010). Validating the Beddoes-Leishman Dynamic Stall Model in the Horizontal Axis Wind Turbine Environment. Master’s Thesis, Universidade de Lisboa. https://dspace.ist.utl.pt/bitstream/2295/725322/1/TeseIST_Final.pdf
- ↑ Schepers, J. (2012). Engineering models in wind energy aerodynamics: Development, implementation and analysis using dedicated aerodynamic measurements. Ph.D. Thesis, Technische Universiteit Delft.
- ↑ 20.0 20.1 Guntur, S.; Sørensen, N.N.; Schreck, S. (July 2013). “Dynamic Stall on Rotating Airfoils: A Look at the N-Sequence Data from the NREL Phase VI Experiment.” Key Engineering Materials 569‒570; pp. 611–619.
- ↑ Leishman, J. (2006). Principles of Helicopter Aerodynamics, Chap. 9. Cambridge Aerospace, Cambridge University Press.
- ↑ 22.0 22.1 22.2 Leishman, J.; Beddoes, T. (1989). “A Semi-Empirical Model for Dynamic Stall.” Journal of the American Helicopter Society 34(3); pp. 3–17.
- ↑ Michelsen, J.A. (December 1992). Basis3D – a Platform for Development of Multiblock PDE Solvers. Technical Report AFM 92-05, Technical University of Denmark, Department of Fluid Mechanics, Technical University of Denmark.
- ↑ Michelsen, J.A. (May 1994). Block structured multigrid solution of 2D and 3D elliptic PDE’s. Technical Report AFM 94-06, Technical University of Denmark, Department of Fluid Mechanics, Technical University of Denmark.
- ↑ Sørensen, N.N. (June 1995). General Purpose Flow Solver Applied to Flow Over Hills. Risø-R- 827-(EN), Risø National Laboratory, Roskilde, Denmark.
- ↑ Menter, F.R. (1993). Zonal Two Equation k-ω Turbulence Models for Aerodynamic Flows. AIAA paper 1993-2906.
- ↑ Menter, F.R.; Kuntz, M. (2004). The Aerodynamics of Heavy Vehicles: Trucks, Buses, and Trains, volume 19 of Lecture Notes in Applied and Computational Mechanics, chapter Adaptation of Eddy-Viscosity Turbulence Models to Unsteady Separated Flow Behind Vehicles, pages 339–352. Springer.
- ↑ Strelets, M. (2001). Detached Eddy Simulation of Massively Separated Flows. AIAA Paper 2001-0879, Russian Scientific Center “Applied Chemistry,” St. Petersburg.
- ↑ Menter, F.R.; Langtry, R.B.; Likki, S.R.; Suzen, Y.B.; Huang, P.G.; Völker, S. (2004). A Correlation-Based Transition Model Using Local Variables, Part I – Model Formulation. In Proceedings of ASME Turbo Expo 2004, Power for Land, Sea, and Air, Vienna, Austria, June 14‒17, 2004. ASME. GT2004-53452.
- ↑ 30.0 30.1 Sørensen, N.N. (2009). “CFD modelling of laminar-turbulent transition for airfoils and rotors using the γ–Reө model.” Wind Energy 12(8); p. 715‒733.
- ↑ Thomas, P.D.; Lombard, C.K. (1979). “Geometric conservation law and its application to flow computations on moving grids.” AIAA Journal 17(10); pp. 1030–1037.
- ↑ Ferziger, J.H.; Peric, M. (1996). Computational Methods for Fluid Dynamics. Springer-Verlag.
- ↑ Sørensen, N.N.; Schreck, S. (2014).“Transitional DDES computations of the NREL Phase-VI rotor in axial flow conditions.” Journal of Physics: Conference Series 555(1); p. 012,096. http://stacks.iop.org/1742-6596/555/i=1/a=012096
- ↑ Langtry, R.B.; Gola, J.; Menter, F.R. (2006). Predicting 2D Airfoil and 3D Wind Turbine Rotor Performance using a Transition Model for General CFD Codes. AIAA-paper-2006-0395.
- ↑ 35.0 35.1 35.2 35.3 Guntur, S.; Sørensen, N.N. (2014a). “An evaluation of several methods of determining the local angle of attack on wind turbine blades.” Journal of Physics: Conference Series 555(1); p. 012,045. doi:10.1088/1742-6596/555/1/012045
- ↑ 36.0 36.1 Lindenburg, C. (2003). Investigation into Rotor Blade Aerodynamics: Analysis of the stationary measurements on the UAE phase-VI rotor in the NASA-Ames wind tunnel. ECN-C–03-025, ECN, The Netherlands.
- ↑ Schreck, S. (2010). “Low frequency shedding prompted by three-dimensionality under rotational augmentation.” 48th AIAA Aerospace Sciences Meeting Including the New Horizons Forum and Aerospace Exposition, January 4, 2010 – January 7, 2010. 48th AIAA Aerospace Sciences Meeting Including the New Horizons Forum and Aerospace Exposition, American Institute of Aeronautics and Astronautics Inc.
- ↑ Rodríguez, D.; Theofilis, V. (2011). “On the birth of stall cells on airfoils.” Theoretical and Computational Fluid Dynamics 25(1-4); pp. 105–117.
- ↑ Herraez, I.; Stoevesandt, B.; Peinke, J. (2014). “Insight into Rotational Effects on a Wind Turbine Blade Using Navier-Stokes Computations.” Energies 7(10); pp. 6798–6822.
- ↑ 40.0 40.1 Schreck, S.; Robinson, M. (2002). “Rotational Augmentation of Horizontal Axis Wind Turbine Blade Aerodynamic Response.” Wind Energy 5; pp. 133–150.
- ↑ Guntur, S.; Sørensen, N.N. (2014b). “A study on rotational augmentation using CFD analysis of flow in the inboard region of the MEXICO rotor blades.” Wind Energy. doi: 10.1002/we.1726
- ↑ Sørensen, N.N.; Schreck, S. (2012). “Computation of the National Renewable Energy Laboratory Phase-VI rotor in pitch motion during standstill.” Wind Energy 15; pp. 425–442.
